欢迎光临壹凌电池官网

行业动态

壹凌动态

Yilink News Latest

充电倍率对锂离子电池衰降的影响

2023-10-11 09:46:45 217

  锂离子电池在使用过程中随着充放电次数的增加,容量逐渐降低,也就是我们所说的衰降,直观的感受就是电量越来越不够用了。好比我们的手机,刚刚买来的时候,充满一次电能够使用一整天,但是随着我们使用可能充满电就只能支撑半天的使用了,这就是锂离子电池在使用中容量衰降了,这对于消费电子产品这种更新换代的比较快的产品还比较好解决,在电池容量衰降过大之前,可能我们就已经更换新的手机了,但是对于电动车这种使用寿命较长的耐用产品来说就不那么好解决了,一般来说汽车的使用寿命可达10年左右,这期间可能要进行1000次到2000次左右的充电(假设每隔一天进行一次充电),为了满足消费者对电动汽车的使用需求,就必须对电动汽车的锂离子电池的寿命提出一定的要求。

5b3bdf51a9c6e6ca37f1c8236d9efef6.png

影响锂离子电池寿命的影响因素很多,使用温度、充放电电流、充放电截止电压等因素都会影响锂离子电池的衰降速度。造成锂离子电池容量衰降的机理也可以分为三类:内阻和极化增加、正负极活性物质损失、Li损失,不同的外部因素对这三者的影响也各不相同。例如LiFePO4材料的电池一般来说具有非常好的循环性能,但是美国德州大学阿灵顿分校的DerekN.Wong等研究发现使用条件对其循环寿命有着重要的影响,当DerekN.Wong分别对26650型号的LiFePO4电池进行15C脉冲放电和15C连续放电,两种放电制度对于LiFePO4电池具有完全不同的影响。15C脉冲放电的磷酸铁51漫画  容量衰降非常快,40次后就无法进行15C放电,但是仍然能够进行1C放电,1C放电的衰降速率为6%/20次。而15C连续放电电池容量衰降较慢,60次以后仍然能够进行15C放电,但是1C倍率的衰降速率要快于15C脉冲放电,达到14%/20次。机理研究显示,15C脉冲放电的电池在负极的SEI膜中含有更多的LiF,而LiF对锂离子扩散的阻碍更大,使得电池的Li+扩散阻抗和电荷交换阻抗迅速增加,从而使得电池在充放电过程中极化电压过大,从而导致LiFePO4大电流放电能力迅速下降。

5eaa539bdedcdf77299dd5d17706aa8d.png


锂离子电池的放电制度很大程度上依赖于使用者,好的放电制度对于有的使用者而言并不一定适用。但是充电制度则主要是设计者进行控制,因此对于充电制度对电池寿命衰降的影响的研究,能够更好的指导我们对锂离子电池的设计。北京交通大学的YangGao等针对不同的充电制度对锂离子电池寿命衰降的影响,并研究了其作用机理,提出了锂离子电池的寿命衰降模型。YangGao的研究显示,当充电电流和截止电压超过一定的数值时,锂离子电池的衰降将被极大的加速,为了降低锂离子电池的衰降速率,需要针对不同的体系,选择合适的充放电电流和截止电压。

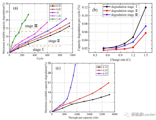
测试中YangGao采用了商用18650电池,正极材料为LiCoO2,负极材料为石墨,测试了不同的充电电流对电池衰降速率的影响,结果如下图所示。从下图a中我们可以看到,充电电流对于锂离子电池衰降速度具有极大的影响,在0.5C充电倍率下,在前150次循环电池的衰降速度为0.020%/循环,在150-800次则稳定为0.0156%/循环,800次以后为0.0214%/循环。而0.8C充电倍率下,电池在前150次,衰降速度为0.0243%/循环,150-800次为0.175%/循环,800次以后为0.0209%/循环。对于1C倍率充电,前150次衰降速率为0.032%/循环,150-600次衰降速率为0.0188%/循环,600次以后衰降速度为0.0271%/循环。1.2C充电,前100次衰降速度为0.0472%/循环,100-400次衰阿酱速度为0.0226%/循环,400次以后衰降速度为0.0356%/循环。1.5C倍率充电与其他倍率充电的电池具有很大的不同,平均衰减速度为0.078%/循环,远远快于其他倍率下充电的电池。从上述数据可以看到,随着充电的倍率的加大,锂离子电池的衰降速率也在快速增加,并且从曲线的斜率来看,电池的衰降速度存在三个不同的阶段,前期衰降速度较快的阶段(阶段1),中间衰降速度较慢的稳定阶段(阶段2),和后期的衰降速率加速阶段(阶段3)。

针对三个阶段电池的衰降机理的研究认为,阶段1可能是因为电池SEI膜生长需要消耗一部分Li+,因此衰降速度较快。在阶段2随着SEI膜结构的稳定,内部较为稳定,因此衰降速度较慢,在阶段3随着电池老化,开始发生活性物质损失,电极活性界面减少,导致电池对于电流十分敏感。图C是针对不同的截止电压对电池衰降速度影响的实验,从实验结果可以看到,当把充电截止电压提高到4.3V时会导致电池的循环性能急剧恶化,降低充电截止电压可以有效的改善电池的循环性能。

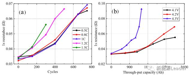
88301955be526afc55167161c494589f.png

对电池的动态内阻分析如下图所示,从图a测试结果来看,当充电电流小于1C时,电池动态内阻随着电池循环的变化趋势几乎时一样的,但是当充电电流超过1C时,电池动态内阻增加速度会随着充电速率的增加而快速增加。从图b的测试结果来看,当充电截止电压为4.3V时,电池动态内阻增加非常迅速表明高截止电压会恶化电池的动力学条件,截止电压为4.1V4.2V时电池动态内阻增加较为缓慢。

ac81a7ff250b10b06e7f9283ff8f1ed2.png

   从上述分析我们可以注意到,无论是充电电流还是充电截止电压都存在一个值,当充电电流或者电压超过这个值时就会导致电池衰降加速,对于上述电池这个值是1C4.2V,当充电电流和截止电压超过这个值后就会加速电池的衰降,当小于这个值时,提高充电电流和截止电压并不会显著的增加电池的衰降速度。对于充电电流和截止电压对电池衰降速度影响的机理研究显示,当充电电流低于1C时主要影响的是正负极活性物质损失,而截止电压低于4.2V时影响的主要是Li损失,当充电电流和截止电压高于这个值时,则会显著的加速正负极活性物质损失和Li损失。









51漫画-51漫画网页版-51漫画在线免费看-51漫画app-51漫画官网 51漫画-51漫画网页版-51漫画在线免费看-51漫画app-51漫画官网 51漫画-51漫画网页版-51漫画在线免费看-51漫画app-51漫画官网 51漫画-51漫画网页版-51漫画在线免费看-51漫画app-51漫画官网 51漫画-51漫画网页版-51漫画在线免费看-51漫画app-51漫画官网